Официальное опубликование правовых актов
ОФИЦИАЛЬНОЕ ОПУБЛИКОВАНИЕ
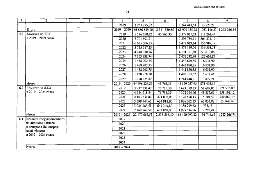
Постановление Правительства Ленинградской области от 17.12.2021 № 822
"О внесении изменений в постановление Правительства Ленинградской области от 14 ноября 2013 года № 400 "Об утверждении государственной программы Ленинградской области "Обеспечение устойчивого функционирования и развития коммунальной и инженерной инфраструктуры и повышение энергоэффективности в Ленинградской области"
Номер опубликования: 4700202112210014
Дата опубликования: 21.12.2021
Страница №22 из 25:
Увеличить