Официальное опубликование правовых актов
ОФИЦИАЛЬНОЕ ОПУБЛИКОВАНИЕ
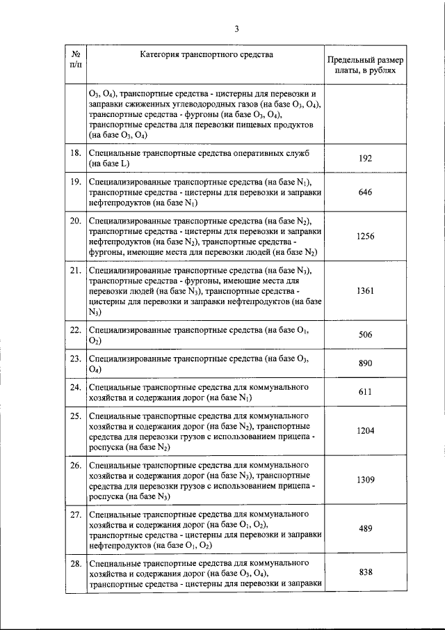
Постановление Администрации Курской области от 20.10.2021 № 1093-па
"Об установлении предельных размеров платы за проведение технического осмотра транспортных средств в Курской области"
Номер опубликования: 4600202110250004
Дата опубликования: 25.10.2021
Страница №5 из 6:
Увеличить