Приказ Инспекции по охране объектов культурного наследия Костромской области от 21.03.2023 № 11-НПА
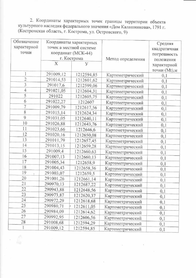
"Об утверждении границы и правового режима использования территории объекта культурного наследия федерального значения "Дом Калашникова", 1791 г. (Костромская область, г.Кострома, ул.Островского,9)"
(Зарегистрирован 27.03.2023 № 78)
"Об утверждении границы и правового режима использования территории объекта культурного наследия федерального значения "Дом Калашникова", 1791 г. (Костромская область, г.Кострома, ул.Островского,9)"
(Зарегистрирован 27.03.2023 № 78)
Номер опубликования: 4401202303300001
Дата опубликования:
30.03.2023
