Официальное опубликование правовых актов
ОФИЦИАЛЬНОЕ ОПУБЛИКОВАНИЕ
Постановление администрации Костромской области от 30.12.2022 № 680-а
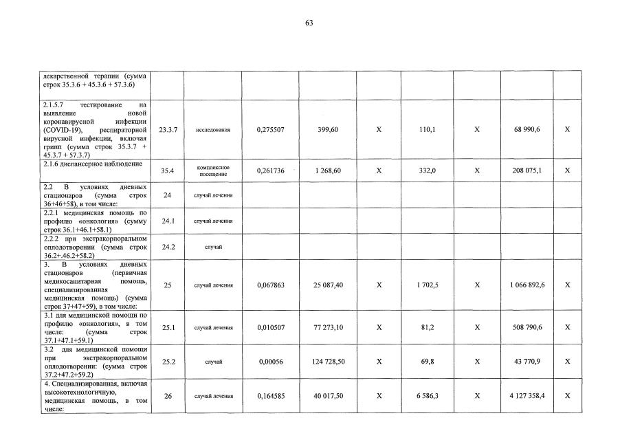
"О программе государственных гарантий бесплатного оказания гражданам медицинской помощи в Костромской области на 2023 год и на плановый период 2024 и 2025 годов"
Номер опубликования: 4400202212310004
Дата опубликования: 31.12.2022
Страница №66 из 147:
Увеличить