Официальное опубликование правовых актов
ОФИЦИАЛЬНОЕ ОПУБЛИКОВАНИЕ
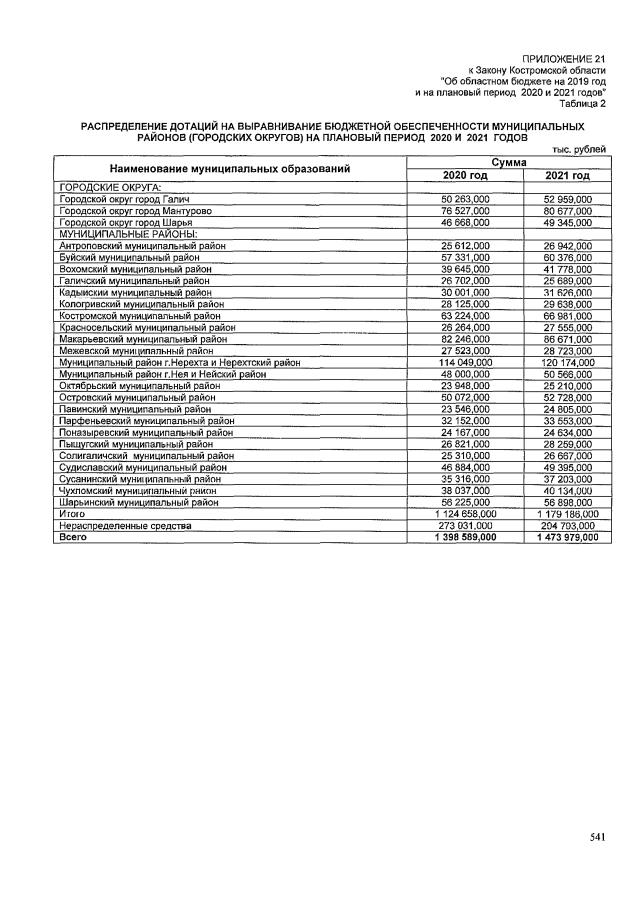
Закон Костромской области от 24.12.2018 № 495-6-ЗКО
"Об областном бюджете на 2019 год и на плановый период 2020 и 2021 годов"
Номер опубликования: 4400201812250024
Дата опубликования: 25.12.2018
Страница №1012 из 1039:
Увеличить