Официальное опубликование правовых актов
ОФИЦИАЛЬНОЕ ОПУБЛИКОВАНИЕ
Указ Губернатора Кировской области от 16.01.2023 № 9
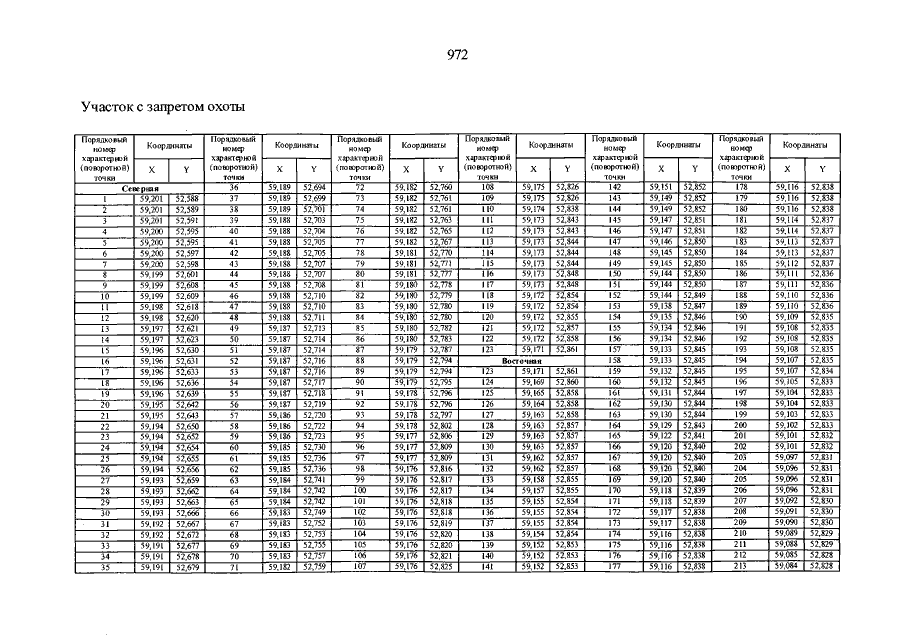
"О внесении изменений в Указ Губернатора Кировской области от 02.08.2021 № 112 "Об утверждении Схемы размещения, использования и охраны охотничьих угодий на территории Кировской области"
Номер опубликования: 4300202301200001
Дата опубликования: 20.01.2023
Страница №973 из 1194:
Увеличить