Официальное опубликование правовых актов
ОФИЦИАЛЬНОЕ ОПУБЛИКОВАНИЕ
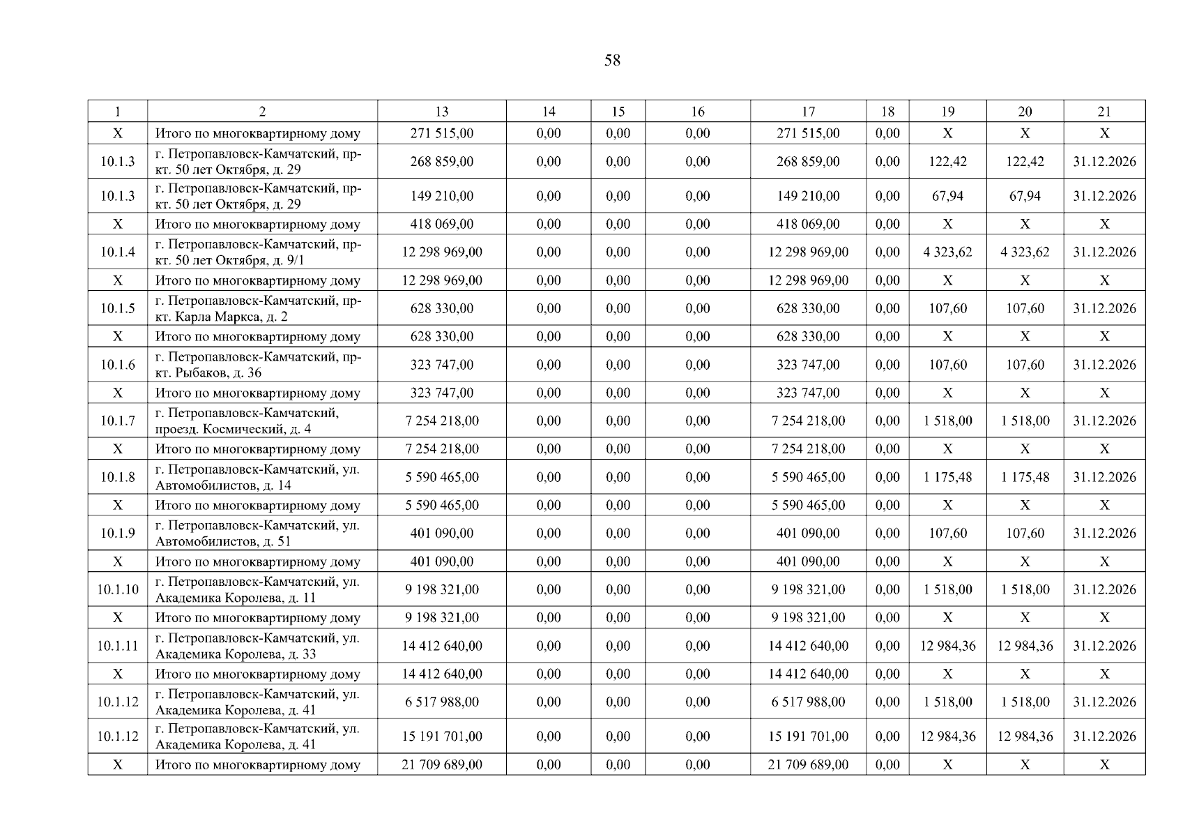
Приказ Министерства жилищно-коммунального хозяйства и энергетики Камчатского края от 15.08.2025 № 15-Н
"Об утверждении краткосрочного плана реализации региональной программы капитального ремонта общего имущества в многоквартирных домах в Камчатском крае на 2026-2028 годы"
(Зарегистрирован 15.08.2025 № 15-Н)
Номер опубликования: 4101202508150001
Дата опубликования: 15.08.2025
Страница №58 из 96:
Увеличить