Официальное опубликование правовых актов
ОФИЦИАЛЬНОЕ ОПУБЛИКОВАНИЕ
Приказ Службы охраны объектов культурного наследия Камчатского края от 09.06.2020 № 23
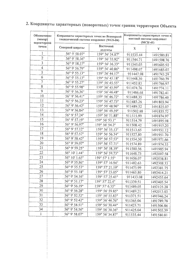
"Об утверждении границ и режима использования территории объекта культурного наследия федерального значения "Ушковская стоянка", эпоха палеолита и неолита, расположенного по адресу (местонахождение): Камчатский край, Усть-Камчатский район"
Номер опубликования: 4101202006100002
Дата опубликования: 10.06.2020
Страница №5 из 9:
Увеличить