Официальное опубликование правовых актов
ОФИЦИАЛЬНОЕ ОПУБЛИКОВАНИЕ
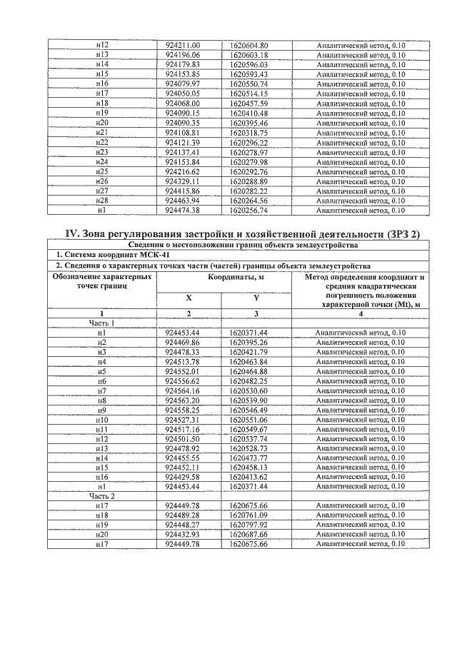
Приказ Службы охраны объектов культурного наследия Камчатского края от 26.02.2020 № 6
"Об установлении зон охраны объекта культурного наследия регионального значения "Успенская церковь (деревянная), 1864 г.", расположенного по адресу: Камчатский край, Усть-Камчатский район, бывший населенный пункт Нижнекамчатск, территория Церкви (река Радуга) и утверждении требований к градостроительным регламентам в границах территорий данных зон"
Номер опубликования: 4101202003030001
Дата опубликования: 03.03.2020
Страница №9 из 19:
Увеличить