Официальное опубликование правовых актов
ОФИЦИАЛЬНОЕ ОПУБЛИКОВАНИЕ
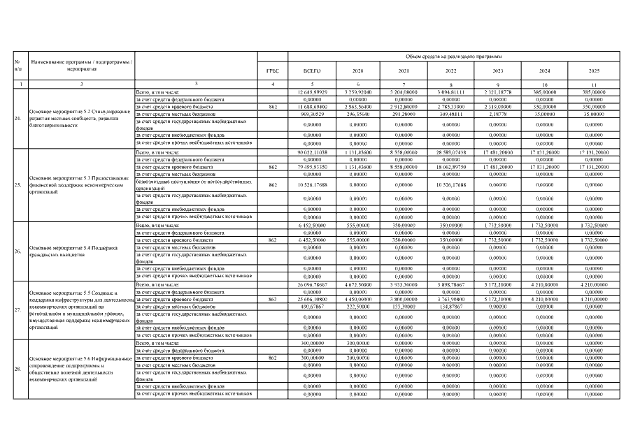
Постановление Правительства Камчатского края от 16.03.2023 № 149-П
"О внесении изменений в государственную программу Камчатского края "Реализация государственной национальной политики и укрепление гражданского единства в Камчатском крае", утвержденную постановлением Правительства Камчатского края от 29.11.2013 № 546-П"
Номер опубликования: 4100202303170001
Дата опубликования: 17.03.2023
Страница №29 из 31:
Увеличить