Официальное опубликование правовых актов
ОФИЦИАЛЬНОЕ ОПУБЛИКОВАНИЕ
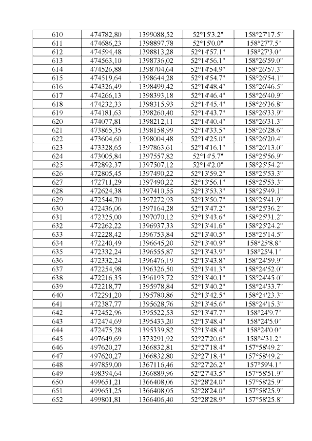
Постановление Губернатора Камчатского края от 11.06.2020 № 97
"О внесении изменений в постановление главы администрации Камчатской области от 18.08.1995 № 193 "О создании природного парка регионального значения "Южно-Камчатский"
Номер опубликования: 4100202006110001
Дата опубликования: 11.06.2020
Страница №74 из 103:
Увеличить