Официальное опубликование правовых актов
ОФИЦИАЛЬНОЕ ОПУБЛИКОВАНИЕ
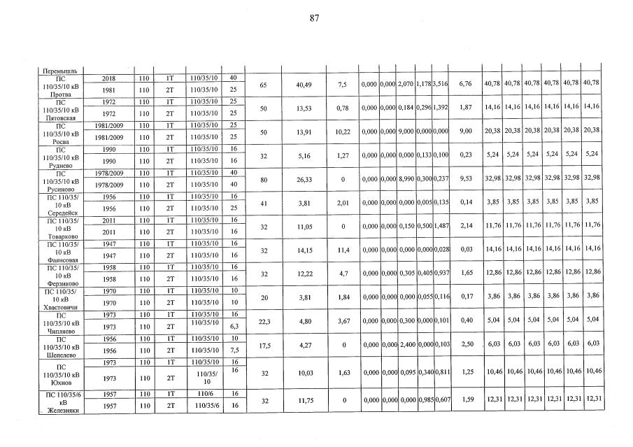
Постановление Губернатора Калужской области от 17.04.2020 № 173
"Об утверждении схемы и программы развития электроэнергетики Калужской области на 2021-2025 годы"
Номер опубликования: 4000202004220001
Дата опубликования: 22.04.2020
Страница №87 из 112:
Увеличить