Официальное опубликование правовых актов
ОФИЦИАЛЬНОЕ ОПУБЛИКОВАНИЕ
Приказ Министерства градостроительной политики Калининградской области от 20.03.2023 № 108
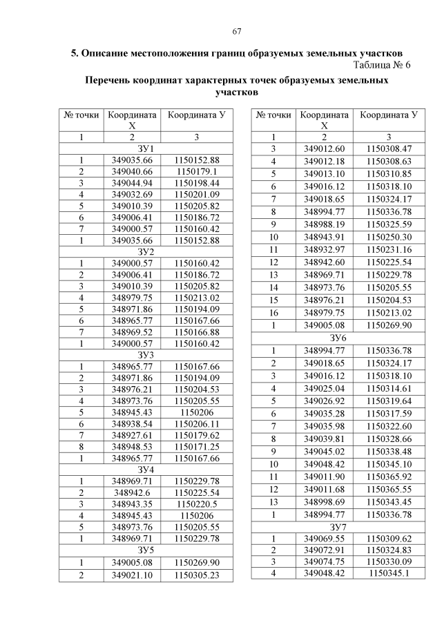
"Об утверждении проекта планировки территории с проектом межевания в его составе в границах улиц Чехова – Гоголя – Садовая – проспект Ленина в городе Балтийске Калининградской области"
(Зарегистрирован 21.03.2023 № ГР/239/2023)
Номер опубликования: 3901202303310005
Дата опубликования: 31.03.2023
Страница №69 из 89:
Увеличить