Официальное опубликование правовых актов
ОФИЦИАЛЬНОЕ ОПУБЛИКОВАНИЕ
Приказ Министерства градостроительной политики Калининградской области от 24.01.2023 № 31
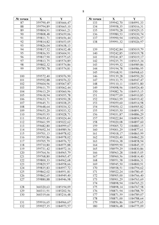
"Об утверждении проекта внесения изменений в проект планировки территории с проектом межевания в его составе, предусматривающий размещение линейного объекта регионального значения "Реконструкция II очереди Кольцевого маршрута в районе Приморской рекреационной зоны (Северный обход города Калининграда с реконструкцией транспортной развязки с Московским проспектом) 2 этап строительства – от транспортной развязки на Зеленоградск до транспортной развязки на Балтийск включительно"
(Зарегистрирован 25.01.2023 № ГР/88/2023)
Номер опубликования: 3901202301300008
Дата опубликования: 30.01.2023
Страница №10 из 188:
Увеличить