Официальное опубликование правовых актов
ОФИЦИАЛЬНОЕ ОПУБЛИКОВАНИЕ
Приказ Министерства градостроительной политики Калининградской области от 21.11.2022 № 476
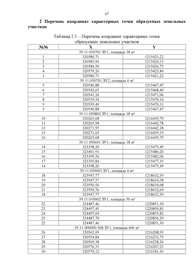
"Об утверждении проекта внесения изменений в документацию по планировке территории, утвержденную приказом Министерства градостроительной политики Калининградской области от 04 апреля 2022 года № 84"
Номер опубликования: 3901202211240001
Дата опубликования: 24.11.2022
Страница №69 из 92:
Увеличить