Официальное опубликование правовых актов
ОФИЦИАЛЬНОЕ ОПУБЛИКОВАНИЕ
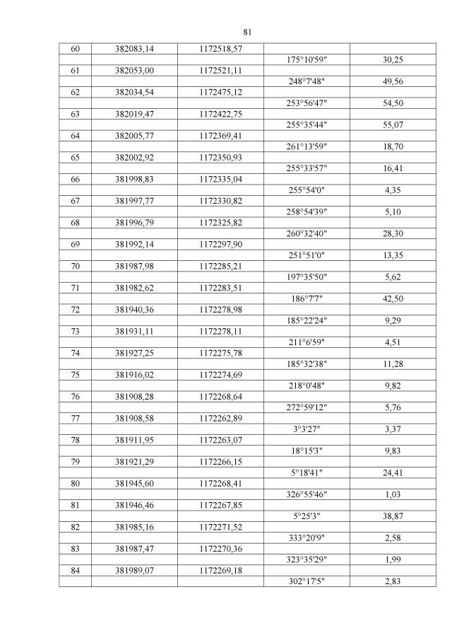
Приказ Министерства градостроительной политики Калининградской области от 09.11.2022 № 455
"Об утверждении проекта планировки территории с проектом межевания в его составе, предусматривающего размещение линейного объекта регионального значения "Реконструкция берегозащитного сооружения (променад) в г. Пионерский"
Номер опубликования: 3901202211100012
Дата опубликования: 10.11.2022
Страница №83 из 90:
Увеличить