Официальное опубликование правовых актов
ОФИЦИАЛЬНОЕ ОПУБЛИКОВАНИЕ
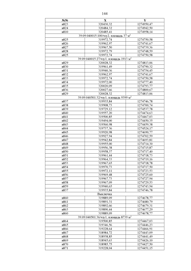
Приказ Министерства градостроительной политики Калининградской области от 11.10.2022 № 403
"Об утверждении проекта внесения изменений в документацию по планировке территории, утвержденную приказом Агентства по архитектуре, градостроению и перспективному развитию Калининградской области от 28 декабря 2021 года № 579"
Номер опубликования: 3901202210170007
Дата опубликования: 17.10.2022
Страница №146 из 155:
Увеличить