Официальное опубликование правовых актов
ОФИЦИАЛЬНОЕ ОПУБЛИКОВАНИЕ
Приказ Министерства градостроительной политики Калининградской области от 19.07.2022 № 280
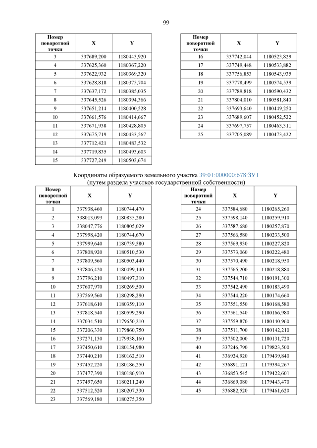
"Об утверждении проекта планировки территории с проектом межевания в его составе, предусматривающего размещение линейного объекта регионального значения "Устройство разворотных петель на автомобильной дороге "Калининград – Мамоново II (пос. Новоселово) – граница с Республикой Польша"
Номер опубликования: 3901202207230001
Дата опубликования: 23.07.2022
Страница №101 из 132:
Увеличить