Официальное опубликование правовых актов
ОФИЦИАЛЬНОЕ ОПУБЛИКОВАНИЕ
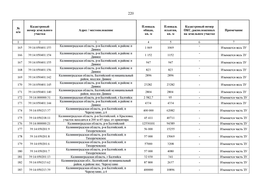
Приказ Министерства градостроительной политики Калининградской области от 18.03.2022 № 47
"Об утверждении проекта внесения изменений в документацию по планировке территории, утвержденную постановлением Правительства Калининградской области от 02 апреля 2018 года № 158"
Номер опубликования: 3901202203240003
Дата опубликования: 24.03.2022
Страница №222 из 295:
Увеличить