Официальное опубликование правовых актов
ОФИЦИАЛЬНОЕ ОПУБЛИКОВАНИЕ
Приказ Агентства по архитектуре, градостроению и перспективному развитию Калининградской области от 02.11.2021 № 466
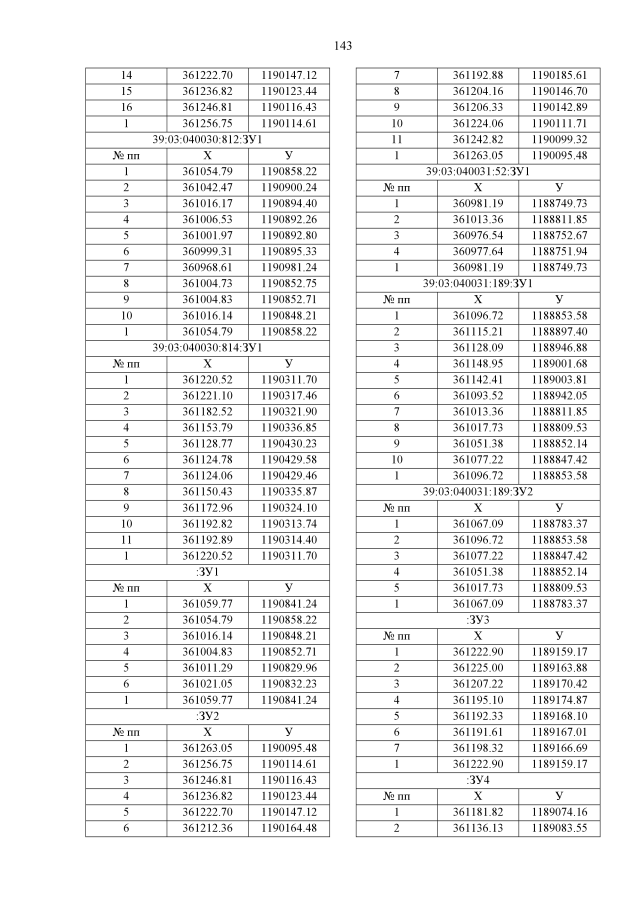
"Об утверждении проекта внесения изменений в проект планировки территории с проектом межевания в его составе, предусматривающий размещение линейного объекта регионального значения "Реконструкция II очереди Кольцевого маршрута в районе Приморской рекреационной зоны (Северный обход города Калининграда с реконструкцией транспортной развязки с Московским проспектом) 2 этап строительства – от транспортной развязки на Зеленоградск до транспортной развязки на Балтийск включительно"
Номер опубликования: 3901202111030017
Дата опубликования: 03.11.2021
Страница №145 из 162:
Увеличить