Официальное опубликование правовых актов
ОФИЦИАЛЬНОЕ ОПУБЛИКОВАНИЕ
Приказ Агентства по архитектуре, градостроению и перспективному развитию Калининградской области от 18.05.2021 № 191
"Об утверждении проекта внесения изменений в проект планировки территории с проектом межевания в его составе, предусматривающий размещение линейного объекта регионального значения "Реконструкция II очереди кольцевого маршрута в районе Приморской рекреационной зоны (Северный обход города Калининграда с реконструкцией транспортной развязки с Московским проспектом) I этапа строительства – от транспортной развязки на Московском проспекте до транспортной развязки на Зеленоградск включительно с устройством подъезда к г. Гурьевску"
Номер опубликования: 3901202105200006
Дата опубликования: 20.05.2021
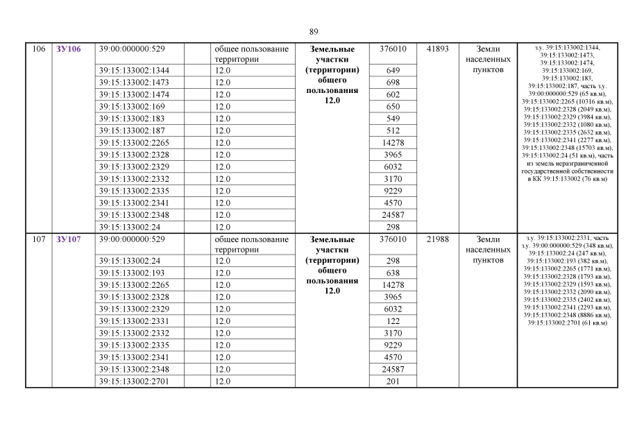
Страница №91 из 152:
Увеличить