Официальное опубликование правовых актов
ОФИЦИАЛЬНОЕ ОПУБЛИКОВАНИЕ
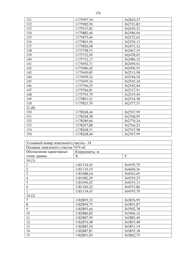
Приказ Агентства по архитектуре, градостроению и перспективному развитию Калининградской области от 24.02.2021 № 74
"Об утверждении документации по планировке территории, предусматривающей размещение линейного объекта регионального значения"
Номер опубликования: 3901202103040005
Дата опубликования: 04.03.2021
Страница №138 из 192:
Увеличить