Официальное опубликование правовых актов
ОФИЦИАЛЬНОЕ ОПУБЛИКОВАНИЕ
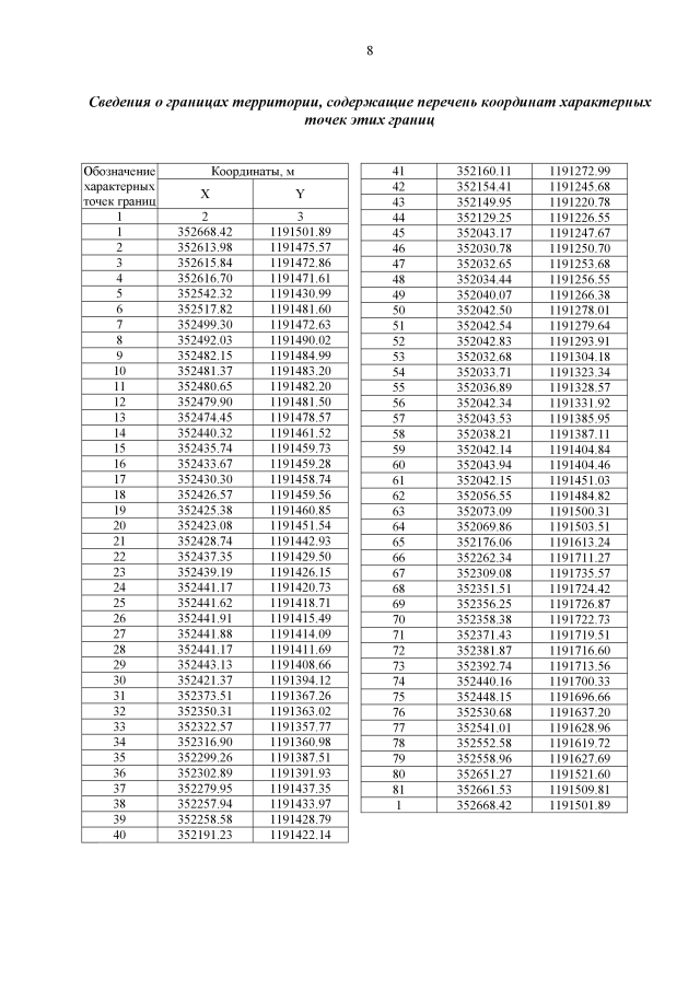
Приказ Агентства по архитектуре, градостроению и перспективному развитию Калининградской области от 10.02.2021 № 40
"Об утверждении проекта межевания территории в границах улицы Яблочная – река Старая Преголя – река Лесная в городе Калининграде"
Номер опубликования: 3901202102170007
Дата опубликования: 17.02.2021
Страница №10 из 13:
Увеличить