Официальное опубликование правовых актов
ОФИЦИАЛЬНОЕ ОПУБЛИКОВАНИЕ
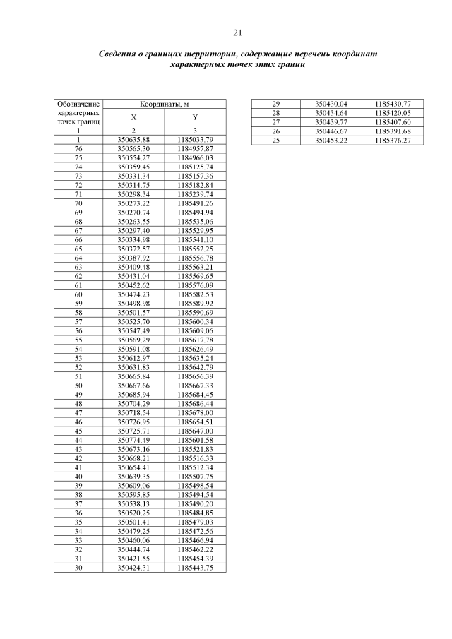
Приказ Агентства по архитектуре, градостроению и перспективному развитию Калининградской области от 23.11.2020 № 504
"Об утверждении проекта планировки территории с проектом межевания в его составе в границах ул. А. Суворова – ул. Добрая – ул. Семейная – ул. Сказочная – ул. Зимняя – ул. Былинная в г. Калининграде"
Номер опубликования: 3901202012010001
Дата опубликования: 01.12.2020
Страница №23 из 26:
Увеличить