Официальное опубликование правовых актов
ОФИЦИАЛЬНОЕ ОПУБЛИКОВАНИЕ
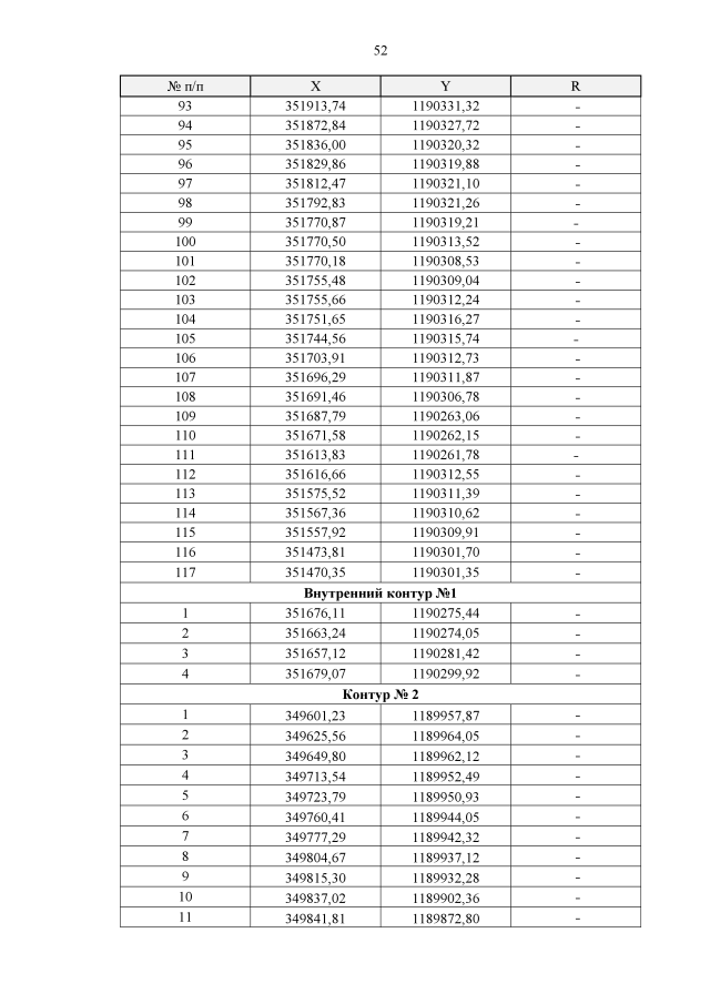
Приказ Агентства по архитектуре, градостроению и перспективному развитию Калининградской области от 06.03.2020 № 100
"Об утверждении документации по планировке территории, предусматривающей размещение линейного объекта местного значения "Реконструкция ул. Аллея смелых в г. Калининграде, Калининградская область"
Номер опубликования: 3901202003100021
Дата опубликования: 10.03.2020
Страница №54 из 99:
Увеличить