Официальное опубликование правовых актов
ОФИЦИАЛЬНОЕ ОПУБЛИКОВАНИЕ
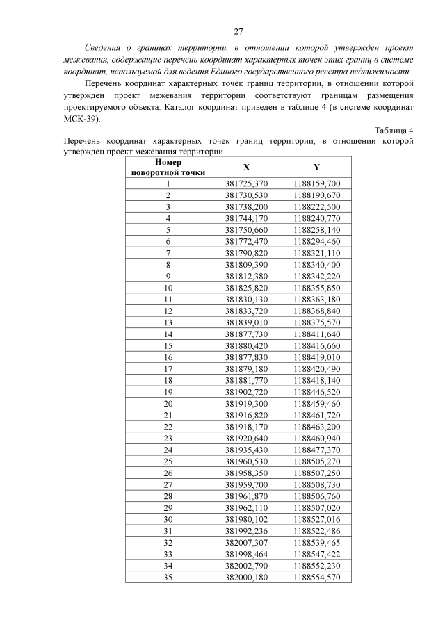
Приказ Агентства по архитектуре, градостроению и перспективному развитию Калининградской области от 24.01.2020 № 34
"Об утверждении документации по планировке территории предусматривающей размещение линейного объекта регионального значения"
Номер опубликования: 3901202001280014
Дата опубликования: 28.01.2020
Страница №29 из 40:
Увеличить