Официальное опубликование правовых актов
ОФИЦИАЛЬНОЕ ОПУБЛИКОВАНИЕ
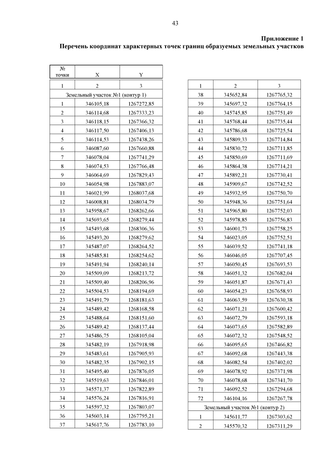
Приказ Агентства по архитектуре, градостроению и перспективному развитию Калининградской области от 19.09.2019 № 328
"Об утверждении документации по планировке территории, предусматривающей размещение линейных объектов регионального значения"
Номер опубликования: 3901201909260005
Дата опубликования: 26.09.2019
Страница №45 из 52:
Увеличить