Официальное опубликование правовых актов
ОФИЦИАЛЬНОЕ ОПУБЛИКОВАНИЕ
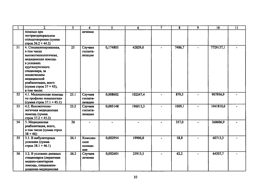
Постановление Правительства Калининградской области от 13.02.2023 № 61
"Об утверждении территориальной программы государственных гарантий бесплатного оказания гражданам медицинской помощи в Калининградской области на 2023 год и на плановый период 2024 и 2025 годов"
Номер опубликования: 3900202302140002
Дата опубликования: 14.02.2023
Страница №84 из 164:
Увеличить