Официальное опубликование правовых актов
ОФИЦИАЛЬНОЕ ОПУБЛИКОВАНИЕ
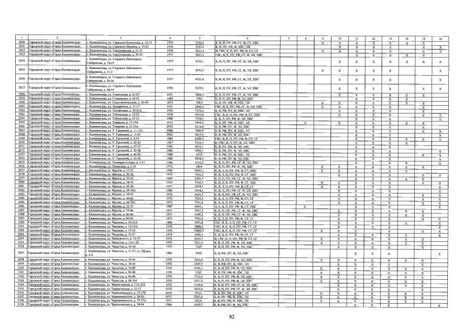
Постановление Правительства Калининградской области от 29.11.2019 № 799
"О внесении изменения в региональную программу капитального ремонта общего имущества в многоквартирных домах, расположенных на территории Калининградской области, на 2015-2044 годы и признании утратившим силу отдельного решения Правительства Калининградской области"
Номер опубликования: 3900201912050011
Дата опубликования: 05.12.2019
Страница №84 из 237:
Увеличить