Официальное опубликование правовых актов
ОФИЦИАЛЬНОЕ ОПУБЛИКОВАНИЕ
Постановление Правительства Калининградской области от 05.06.2019 № 410
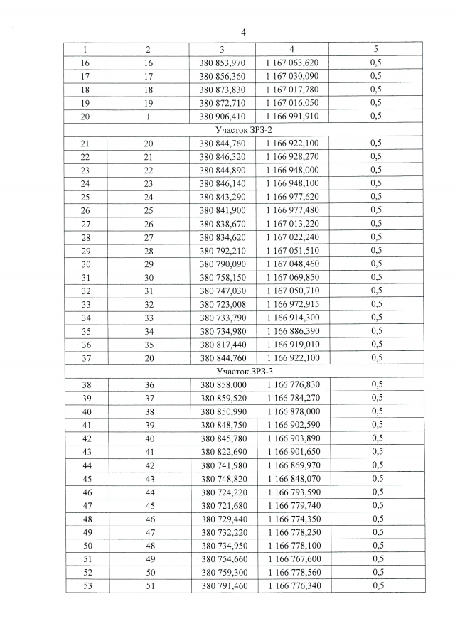
"Об утверждении границ зон охраны объекта культурного наследия регионального значения "Комплекс сооружений "Курзал курорта Раушен", особых режимов использования земель и требований к градостроительным регламентам в границах данных зон"
Номер опубликования: 3900201906130008
Дата опубликования: 13.06.2019
Страница №6 из 19:
Увеличить