Официальное опубликование правовых актов
ОФИЦИАЛЬНОЕ ОПУБЛИКОВАНИЕ
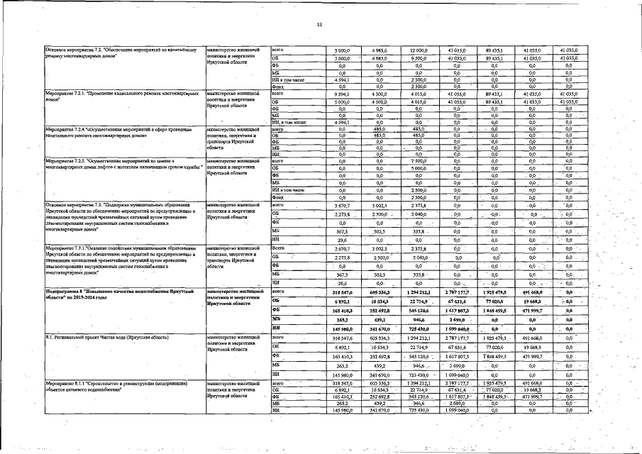
Постановление Правительства Иркутской области от 27.03.2023 № 260-пп
"О внесении изменений в государственную программу Иркутской области "Развитие жилищно-коммунального хозяйства и повышение энергоэффективности Иркутской области" на 2019 - 2025 годы"
Номер опубликования: 3800202303300002
Дата опубликования: 30.03.2023
Страница №101 из 101:
Увеличить