Официальное опубликование правовых актов
ОФИЦИАЛЬНОЕ ОПУБЛИКОВАНИЕ
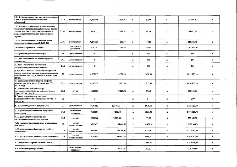
Постановление Правительства Иркутской области от 30.12.2022 № 1110-пп
"О Территориальной программе государственных гарантий бесплатного оказания гражданам медицинской помощи в Иркутской области на 2023 год и на плановый период 2024 и 2025 годов"
Номер опубликования: 3800202212300015
Дата опубликования: 30.12.2022
Страница №111 из 127:
Увеличить