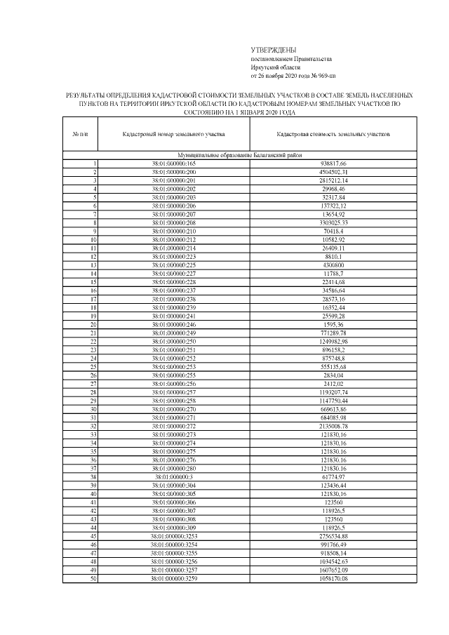
Постановление Правительства Иркутской области от 26.11.2020 № 969-пп
"Об утверждении результатов определения кадастровой стоимости земельных участков в составе земель населенных пунктов, земель лесного фонда, земель особо охраняемых территорий и объектов на территории Иркутской области и средних уровней кадастровой стоимости земельных участков в составе земель населенных пунктов, земель лесного фонда, земель особо охраняемых территорий и объектов по муниципальным районам и городским округам на территории Иркутской области"
"Об утверждении результатов определения кадастровой стоимости земельных участков в составе земель населенных пунктов, земель лесного фонда, земель особо охраняемых территорий и объектов на территории Иркутской области и средних уровней кадастровой стоимости земельных участков в составе земель населенных пунктов, земель лесного фонда, земель особо охраняемых территорий и объектов по муниципальным районам и городским округам на территории Иркутской области"
Номер опубликования: 3800202012010001
Дата опубликования:
01.12.2020
