Официальное опубликование правовых актов
ОФИЦИАЛЬНОЕ ОПУБЛИКОВАНИЕ
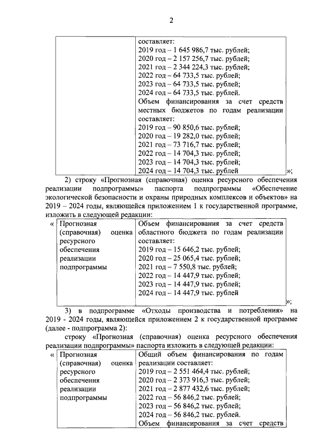
Постановление Правительства Иркутской области от 11.10.2019 № 842-пп
"О внесении изменений в государственную программу Иркутской области "Охрана окружающей среды" на 2019-2024 годы"
Номер опубликования: 3800201910180001
Дата опубликования: 18.10.2019
Страница №2 из 34:
Увеличить