Официальное опубликование правовых актов
ОФИЦИАЛЬНОЕ ОПУБЛИКОВАНИЕ
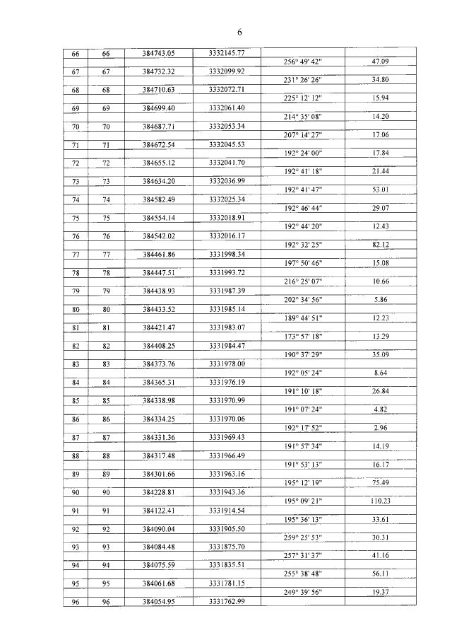
Постановление Правительства Иркутской области от 27.11.2017 № 776-пп
"О памятнике природы регионального значения "Кайский бор"
Номер опубликования: 3800201711300003
Дата опубликования: 30.11.2017
Страница №13 из 22:
Увеличить