Официальное опубликование правовых актов
ОФИЦИАЛЬНОЕ ОПУБЛИКОВАНИЕ
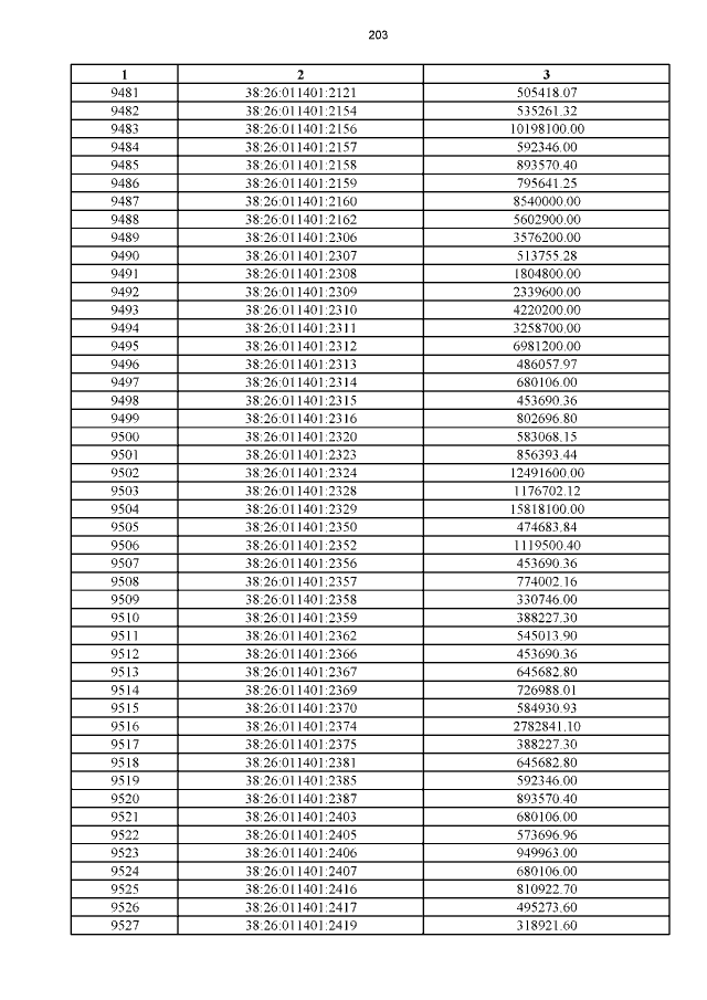
Постановление Правительства Иркутской области от 14.11.2016 № 723-пп
"О результатах определения кадастровой стоимости объектов недвижимости жилищного и нежилого фонда (зданий, сооружений, помещений, объектов незавершенного строительства) на территории Иркутской области"
Номер опубликования: 3800201611180001
Дата опубликования: 18.11.2016
Страница №205 из 28499:
Увеличить