Официальное опубликование правовых актов
ОФИЦИАЛЬНОЕ ОПУБЛИКОВАНИЕ
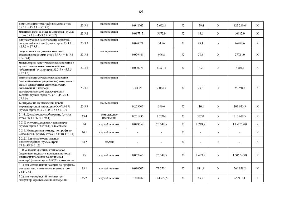
Постановление Правительства Ивановской области от 30.01.2023 № 24-п
"Об утверждении Территориальной программы государственных гарантий бесплатного оказания гражданам медицинской помощи на территории Ивановской области на 2023 год и на плановый период 2024 и 2025 годов"
Номер опубликования: 3700202301300010
Дата опубликования: 30.01.2023
Страница №85 из 106:
Увеличить