Официальное опубликование правовых актов
ОФИЦИАЛЬНОЕ ОПУБЛИКОВАНИЕ
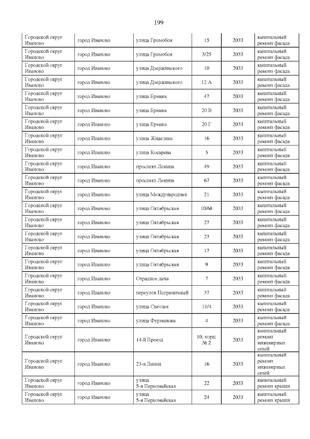
Постановление Правительства Ивановской области от 20.09.2021 № 438-п
"О внесении изменений в постановление Правительства Ивановской области от 30.04.2014 № 164-п "Об утверждении региональной программы капитального ремонта общего имущества в многоквартирных домах, расположенных на территории Ивановской области"
Номер опубликования: 3700202109210001
Дата опубликования: 21.09.2021
Страница №199 из 902:
Увеличить