Официальное опубликование правовых актов
ОФИЦИАЛЬНОЕ ОПУБЛИКОВАНИЕ
Приказ департамента природных ресурсов и экологии Воронежской области от 01.02.2023 № 50
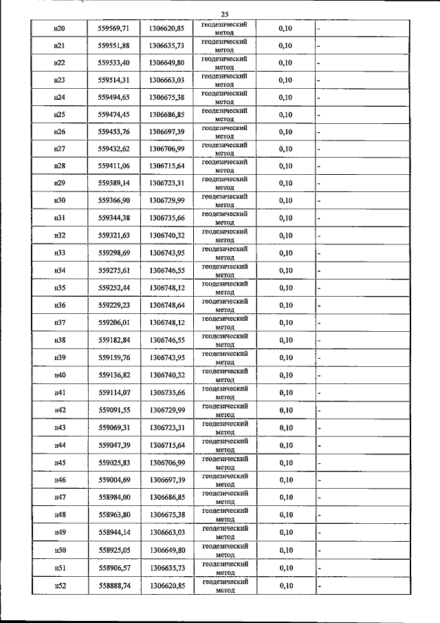
"Об установлении зон санитарной охраны существующих скважин № 9583, № 9575, № б/н для питьевого, хозяйственно-бытового водоснабжения СНТ "Весенние зори", по адресу: Воронежская область, Рамонский район, село Сенное, садоводческое некоммерческое товарищество "Весенние зори" (кадастровый номер 36:25:6901999:818)"
(Зарегистрирован 15.02.2023 № 116)
Номер опубликования: 3601202302200007
Дата опубликования: 20.02.2023
Страница №27 из 43:
Увеличить