Официальное опубликование правовых актов
ОФИЦИАЛЬНОЕ ОПУБЛИКОВАНИЕ
Приказ департамента природных ресурсов и экологии Воронежской области от 09.02.2023 № 63
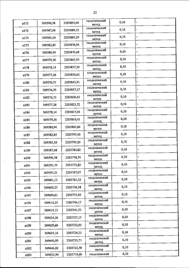
"Об установлении зон санитарной охраны двух существующих скважин: № 5645/1, № 702 для питьевого, хозяйственно-бытового водоснабжения ООО "Четвериковское"
(Зарегистрирован 15.02.2023 № 118)
Номер опубликования: 3601202302200006
Дата опубликования: 20.02.2023
Страница №27 из 32:
Увеличить