Официальное опубликование правовых актов
ОФИЦИАЛЬНОЕ ОПУБЛИКОВАНИЕ
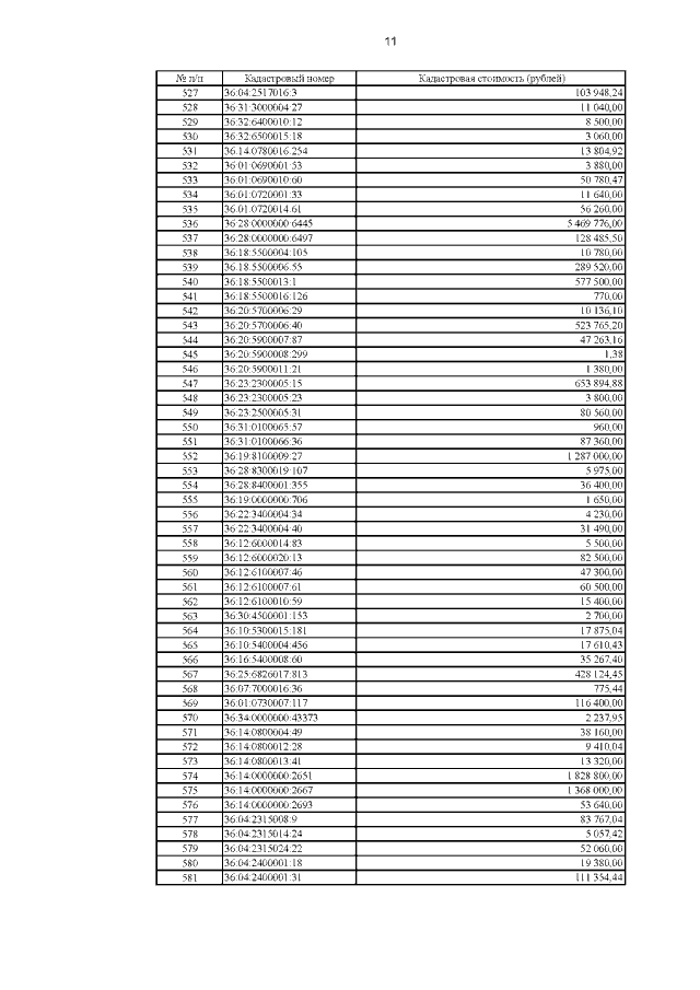
Приказ департамента имущественных и земельных отношений Воронежской области от 06.11.2020 № 2562
"Об утверждении результатов определения кадастровой стоимости земельных участков категорий земель населенных пунктов, земель водного фонда и земель лесного фонда, расположенных на территории Воронежской области"
(Зарегистрирован 19.11.2020 № 920)
Номер опубликования: 3601202011230005
Дата опубликования: 23.11.2020
Страница №14 из 17148:
Увеличить