Официальное опубликование правовых актов
ОФИЦИАЛЬНОЕ ОПУБЛИКОВАНИЕ
Приказ Департамента имущественных отношений Вологодской области от 20.11.2020 № 100-н
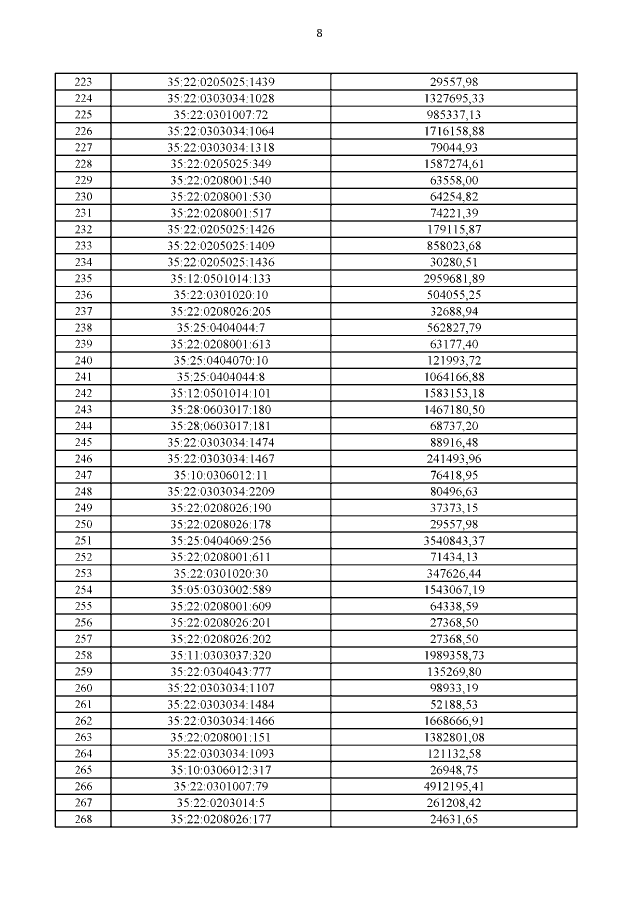
"Об утверждении результатов определения кадастровой стоимости земельных участков категории земель "земли особо охраняемых природных территорий и объектов"
Номер опубликования: 3501202011250013
Дата опубликования: 25.11.2020
Страница №8 из 13:
Увеличить