Официальное опубликование правовых актов
ОФИЦИАЛЬНОЕ ОПУБЛИКОВАНИЕ
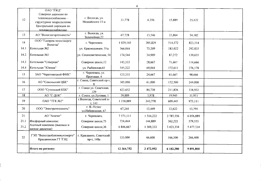
Постановление Правительства Вологодской области от 19.09.2022 №1156 "Об утверждении графиков перевода потребителей области на резервные виды топлива при похолоданиях и аварийного ограничения подачи природного газа потребителям области в отопительном сезоне 2022-2023 годов"
Номер опубликования: 3500202209200014
Дата опубликования: 20.09.2022
Страница №14 из 18:
Увеличить