Официальное опубликование правовых актов
ОФИЦИАЛЬНОЕ ОПУБЛИКОВАНИЕ
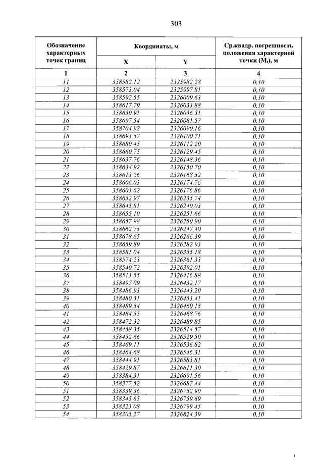
Постановление Правительства Вологодской области от 24.12.2018 № 1200
"Об утверждении предмета охраны, границы территории и требований к градостроительным регламентам в границах территории исторического поселения регионального значения город Вологда"
Номер опубликования: 3500201812290005
Дата опубликования: 29.12.2018
Страница №303 из 445:
Увеличить