Официальное опубликование правовых актов
ОФИЦИАЛЬНОЕ ОПУБЛИКОВАНИЕ
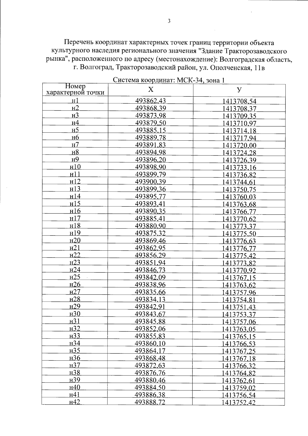
Приказ комитета государственной охраны объектов культурного наследия Волгоградской области от 12.04.2024 № 30-н
"Об утверждении границ и режимов использования территории объектов культурного наследия регионального значения, расположенных на территории городского округа город-герой Волгоград и Котельниковского района Волгоградской области"
Номер опубликования: 3401202404150001
Дата опубликования: 15.04.2024
Страница №37 из 39:
Увеличить