Официальное опубликование правовых актов
ОФИЦИАЛЬНОЕ ОПУБЛИКОВАНИЕ
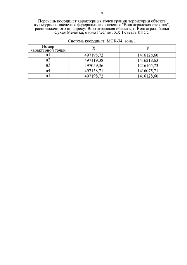
Приказ комитета государственной охраны объектов культурного наследия Волгоградской области от 29.03.2023 № 135
"Об утверждении описания местоположения границ территории ряда объектов культурного наследия федерального значения, расположенных на территории городского округа город-герой Волгоград"
Номер опубликования: 3401202303300003
Дата опубликования: 30.03.2023
Страница №27 из 33:
Увеличить