Официальное опубликование правовых актов
ОФИЦИАЛЬНОЕ ОПУБЛИКОВАНИЕ
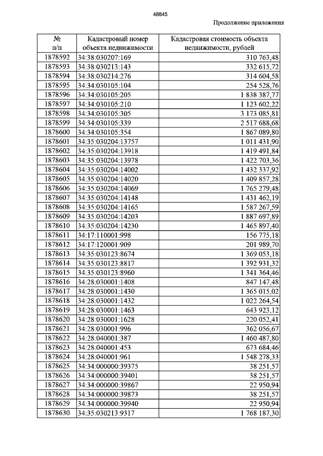
Приказ комитета по управлению государственным имуществом Волгоградской области от 30.10.2020 № 77-н
"Об утверждении результатов определения кадастровой стоимости объектов недвижимости (за исключением земельных участков) на территории Волгоградской области"
Номер опубликования: 3401202011060011
Дата опубликования: 06.11.2020
Страница №48846 из 49187:
Увеличить