Официальное опубликование правовых актов
ОФИЦИАЛЬНОЕ ОПУБЛИКОВАНИЕ
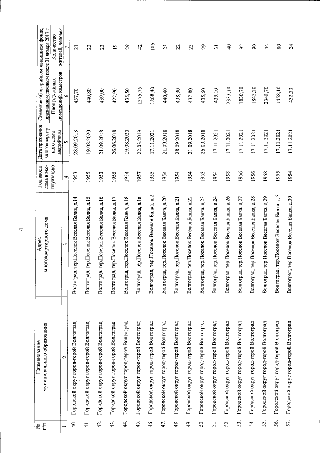
Постановление Администрации Волгоградской области от 28.03.2023 № 214-п
"О внесении изменений в постановление Администрации Волгоградской области от 01 апреля 2019 г. № 141-п "Об утверждении региональной адресной программы "Переселение граждан из аварийного жилищного фонда на территории Волгоградской области в 2019-2025 годах"
Номер опубликования: 3400202303300002
Дата опубликования: 30.03.2023
Страница №5 из 45:
Увеличить