Официальное опубликование правовых актов
ОФИЦИАЛЬНОЕ ОПУБЛИКОВАНИЕ
Постановление Администрации Волгоградской области от 28.03.2023 № 211-п
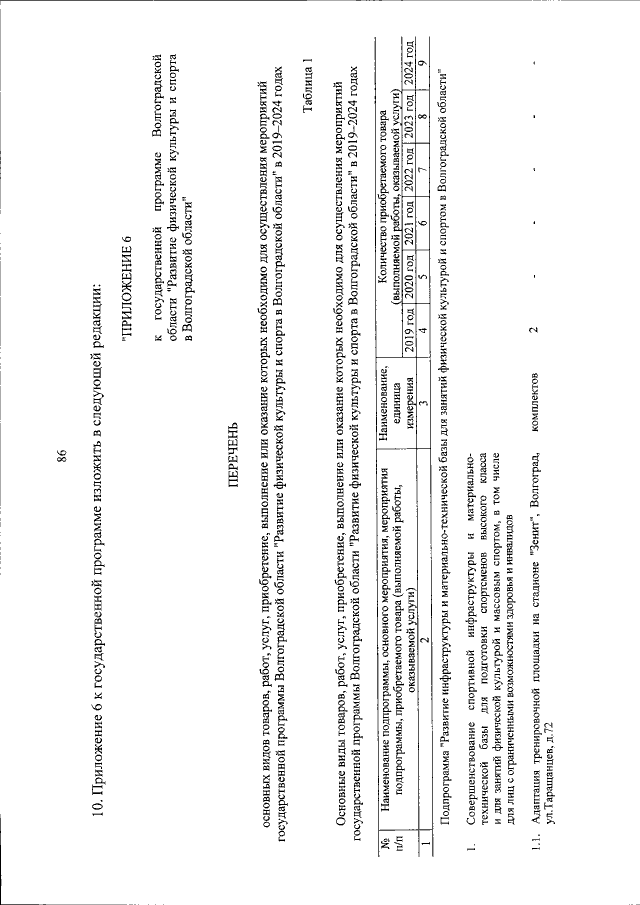
"О внесении изменений в постановление Администрации Волгоградской области от 25 апреля 2018 г. № 189-п "Об утверждении государственной программы Волгоградской области "Развитие физической культуры и спорта в Волгоградской области"
Номер опубликования: 3400202303300001
Дата опубликования: 30.03.2023
Страница №87 из 137:
Увеличить