Официальное опубликование правовых актов
ОФИЦИАЛЬНОЕ ОПУБЛИКОВАНИЕ
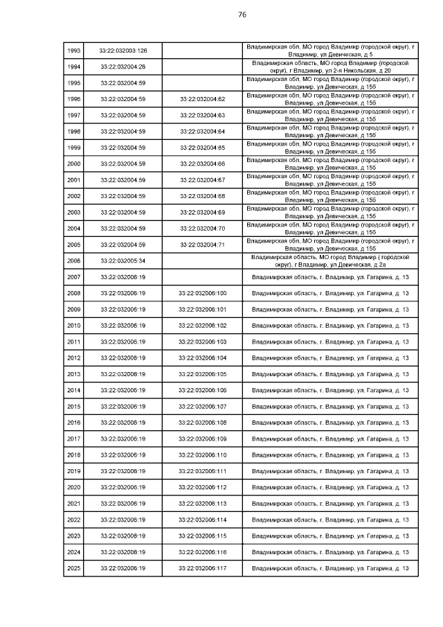
Постановление Департамента имущественных и земельных отношений Владимирской области от 22.12.2022 № 87
"Об определении перечня объектов недвижимого имущества, указанных в подпунктах 1 и 2 пункта 1 статьи 378.2 Налогового кодекса Российской Федерации, в отношении которых на 2023 год налоговая база определяется как кадастровая стоимость"
Номер опубликования: 3301202212260002
Дата опубликования: 26.12.2022
Страница №78 из 119:
Увеличить